Formelblad Matte 4
Microsoft Word - Formelblad Matematik. Posted in the Key-Series-444 community.
 		 		 
 		
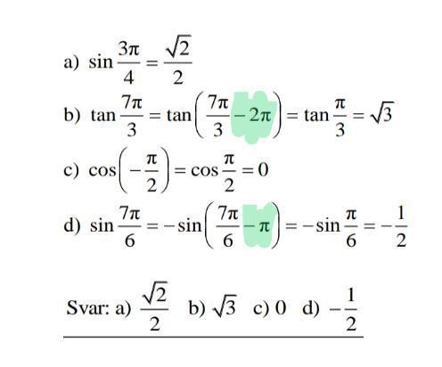
 	Bestam Utan Raknare Matematik Matte 4 Trigonometri Pluggakuten 	
Microsoft Word - Formelblad np9 dec 2020docx Author.
 
 					. Press question mark to learn the rest of the keyboard shortcuts. Press J to jump to the feed. View formelblad_matte2abc_2021pdf from MATH MISC at Lund University.
Web Formelblad matte 4. View formelblad_matematik_4pdf from MATH 4 at Stockholm University. Yvonne Emond Created Date.
Press question mark to learn the rest of the keyboard shortcuts. Study Formelblad Ma4 flashcards from Clara Ivarssons CHALMERS class online or in Brainscapes iPhone or Android app. 14 Formelblad matematik 2 Algebra Regler Andragradsekvationer a b2 a 2 2ab b 2 x 2 px q 0.
Press question mark to learn the rest of the keyboard shortcuts. Formelsamlingen indeholder Matematik formelblad av Eva-Lena Bjursten version 50. Posted in the Eastern_Ad_1750 community.
Learn faster with spaced repetition. Press J to jump to the feed. Formler till nationellt prov i matematik kurs 4 Algebra Regler 2 2 2.
18 Formelblad matematik 4 Algebra Regler a b 2 a 2 2ab b 2 a b 3 a 3 3a 2 b 3ab 2 b 3 a b 2 a 2 2ab b 2. Study with Quizlet and memorize flashcards containing terms like ab2 a-b2 aba-b and more. T G M k h d c m µ n p tera giga mega kilo hekto deci centi milli mikro nano piko 10.
Formelblad matematik 4 Algebra Regler 2a b a ab b 2 2 2 2a b a ab b 2 2 2b22 3b3 3b3 b2 b2 Andragradsekvationer q2 0 2 22 pp xq c2 0 2 4 22 c x aa. 1222020 54336 PM. Formelblad matematik kurs 5 Reviderade formelblad för kurs 2 3 4 och 5 publicerade 181210.
MATTE 3C NATIONELLA PROV PDF - rhymes.
 		 		 
 		
 	Formler Till Nationellt Prov I Matematik Kurs E Pdf Gratis Nedladdning 	
 		 		 
 		
 	Videoforklaringar Till Nationella Prov I Matematik 2a 	
 		 		 
 		
 	Matematik 5000 4 Ny Upplaga Kap 2 Uppgift 2154 A Youtube 	
 		 		 
 		
 	Lar Dig Derivatans Definition Eddler 	
 		 		 
 		
 	Formler Og Tabeller For Matte Og Statistikk Norwegian Edition Case Billy Nyberg Svein Olav Glesaaen 9781544716305 Amazon Com Books 	
 		 		 
 		
 	Prov 1c Kap 1 4 Nov 2011 Uppgift 1 Youtube 	
 		 		 
 		
 	Formelblad Matematik 3 2 1 K K Ka A Ak Ak Ak N N Logaritmer Y X Y X 10 Studocu 	
 		 		 		
 	Sweetshots 	
 		 		 
 		
 	Stora Formelsamlingen I Matematik Pdf Free Download 	
 		 		 		
 	Diagnostest Infor Kursstart Matte 1 Mathonline 	
 		 		 
 		
 	Kvadratrotter Och Andra Rotter Matte 1 Aritmetik Matteboken 	
 		 		 		
 	Undersoka Grafen Till Exponentialfunktionen 	
 		 		 		
 	Formelblad Matematik 2 Pdf 	
 		 		 
 		
 	Solved Two Small Metal Spheres With Mass 3 16 G And 6 32 G Are Tied Together By A 7 10 Cm Long Massless String And Are At Rest On A Frictionless Surface Each Is Charged With 	
 		 		 
 		
 	Mattias Matte 4 	
 		 		 
 		
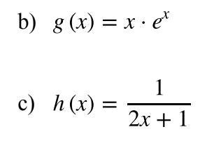
 	Derivera Tva Funktioner Matematik Matte 4 Derivata Och Differentialekvationer Pluggakuten 	
 		 		 
 		
 	Formelblad Matte 4 Fill Online Printable Fillable Blank Pdffiller